Вопрос №1 В цепь с сопротивлением 10 Ом подключили источник тока с эдс 24 В и сопротивлением 2 Ом. Какой ток идет в цепь?
Ответы:
- A) 2 А
- B) 4 А
- C) 24 А
- D) 12 А
- E) 10 А
Вопрос №2 Дана P-V-диаграмма цикла изменения состояния идеального газа. Площадь фигуры KLMN на этой диаграмме соответствует 
Ответы:
- A) Работе газа за цикл.
- B) Работе внешних сил при сжатии газа.
- C) Изменению внутренней энергии газа за цикл.
- D) Количеству теплоты, отданному газом холодильнику.
- E) Работе газа в процессе расширения газа.
Вопрос №3 Корпускулярно - волновой дуализм материи заключается в том, что … .
Ответы:
- A) все материальные объекты в природе обладают волновыми свойствами
- B) свет - это и поток фотонов, и электромагнитные волны
- C) вещество и поле – 2 разновидности материи
- D) при определенных условиях частицы вещества порождают поле, а поле порождает частицы.
- E) условиях частицы вещества порождают поле, а поле порождает частицы.
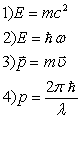
Вопрос №4 Формула де Бройля... .
Ответы:
- A)

- B)

- C)

- D)

- E)

Вопрос №5 Внутренняя энергия идеального газа зависит
Ответы:
- A) от объема газа.
- B) от температуры газа.
- C) от массы газа и давления.
- D) от массы газа.
- E) от давлений газа.
Вопрос №6 Пропускают свет через два последовательно расположенных кристалла турмалина. При вращении второго кристалла турмалина свет, прошедший через второй кристалл
Ответы:
- A) сначала гасится, а потом становится ярче.
- B) постепенно гасится.
- C) не изменяется свою яркость.
- D) сначала становится ярче , а потом гасится.
- E) становится ярче.
Вопрос №7 Какая изи векторных физических величин всегда совпадает по направлению с вектором импульса.
Ответы:
- A) скорость
- B) перемещение
- C) ускорение
- D) сила
- E) момент силы
Вопрос №8 Ящик тянут равномерно по горизонтальной поверхности за веревку, образующую с горизонтом угол 60. Сила, приложенная к веревке, равна 25 H. Работа, совершаемая при перемещении ящика на расстояние 40 м
Ответы:
- A) 500 Дж
- B) 750 Дж
- C) 1000 Дж
- D) 450 Дж
- E) 250 Дж
Вопрос №9 В сосуд налиты три несмешивающиеся между собой жидкости:
1. вода (в = 1000
)
2. керосин (к = 800
)
3. ртуть (р = 13600
)
Определите порядок их расположения снизу вверх.
Ответы:
- A) 1, 2, 3
- B) 2, 3, 1
- C) 3, 2, 1
- D) 2, 1, 3
- E) 3, 1, 2
Вопрос №10 Суть гипотезы де Бройля можно выразить формулой... 
Ответы:
- A) 2 и 4
- B) 1 и 2
- C) 2 и 3
- D) 3 и 4
- E) 4
Вопрос №11 Тело массой m движется со скоростью
. Импульс тела равен
Ответы:
- A)
. - B)
. - C)
. - D) m
. - E) m2.
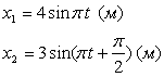
Вопрос №12 Чему равна амплитуда результирующего колебания, полученного от сложения двух одинаково направленных колебаний, заданных уравнениями... 
Ответы:
- A) 5 м
- B) 7 м
- C) 1 м
- D) 3,5 м
- E) 0,75 м
Вопрос №13 Тело массой 2 кг движется с ускорением 4
. Равнодействующая всех сил равна
Ответы:
- A) 0,5 H.
- B) 4 H.
- C) 8 H.
- D) 2 H.
- E) 16 Н.
Вопрос №14 Закон Фарадея можно записать в виде:
Ответы:
- A)
. - B)
. - C)
. - D)
. - E)
.
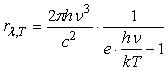
Вопрос №15 Длина радиоволны 30м.Чему равна частота колебаний источника волны, если скорость распростанения ее в воздухе 
Ответы:
- A)

- B)

- C)

- D)

- E)

Вопрос №16 Свободный конец каната вытянули вверх на 4 м, при этом груз массой 1 кг поднялся на высоту и была совершена работа
Ответы:
- A) 4 м; 40 Дж
- B) 8 м; 10 Дж
- C) 6 м; 10 Дж
- D) 2 м; 20 Дж
- E) 3 м; 20 Дж
Вопрос №17 Выражение для определения ускорения тела массой m в системе, изображенной на рисунке, при F > mg, имеет вид 
Ответы:
- A)

- B) F - mg
- C) mg - F
- D)

- E)

Вопрос №18 Определить импульс фотона красного излучения, длина волны которого 720 нм (h = 6,6210-34 Джс).
Ответы:
- A) 10,810-34 Нс.
- B) 9,210-28 Нс.
- C) 108,810-34 Нс.
- D) 0,910-28 Нс.
- E) 9,110-31 Нс.
Вопрос №19 Потенциалы двух близких параллельных эквипотенциальных плоскостей 1 и 2 равны 3,00 В, 3,05 В. Расстояние между плоскостями 0,5 см. Определите приближенное значение модуля напряженности поля Е и укажите направление вектора напряженности электрического поля: 
Ответы:
- A) 10 В/м от 1 к 2.
- B) 100 В/м от плоскости 1 к 2.
- C) 0,1 В/м от 2 к 1.
- D) 10 В/м от 2 к 1.
- E) 0,01 В/м от 2 к 1.
Вопрос №20 Под действием силы 25 H вагонетка массой 500 кг приходит в движение и набирает скорость 2 м/с через интервал времени
Ответы:
- A) 40 с
- B) 50 с
- C) 30 с
- D) 60 с
- E) 80 с