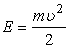
Вопрос №1 Какое из выражений отражает закон сохранения механической энергии?
Ответы:
- A)

- B)

- C)

- D)

- E)

Вопрос №2 Какое из свойств электростатического поля указывает на то, что оно является потенциальным?
Ответы:
- A) Работа сил поля при перемещении заряда по замкнутому контуру равна нулю
- B) Электрическое поле обладает энергией
- C) Напряженность поля в каждой точке одинакова
- D) Поле совершает работу при перемещении в нем заряженной частицы
- E) Поле оказывает силовое воздействие на заряженные тела
Вопрос №3 Единица измерения силы тока…
Ответы:
- A) А.
- B) Кл.
- C) В.
- D) Дж.
- E) Вт.
Вопрос №4 Мяч массой 200 г, движущийся со скоростью 10 м/с перпендикулярно массивной стенке, отскакивает обратно со скоростью 5 м/с.Найти продолжительность соударния (с), если срдняя сила удара равна 6 Н.
Ответы:
- A) 0,5
- B) 2
- C) 3
- D) 50
- E) 4
Вопрос №5 При прохождении электромагнитных волн в воздухе происходят колебания
Ответы:
- A) напряженности электрического и индукции магнитного полей.
- B) напряженности электрического поля.
- C) концентрации кислорода.
- D) плотности воздуха.
- E) молекул воздуха.
Вопрос №6 Какая из приведённых формул выражает условие дифракционного максимума при прохождении лучей через дифракционную решётку (d=a+b-постоянная решётки).
Ответы:
- A)

- B)

- C)

- D)

- E)

Вопрос №7 Если R1=8 Ом, R2=4 Ом, показания амперметра 1 A, то полный ток в цепи равен 
Ответы:
- A) 0,2 A.
- B) 30 A.
- C) 0,3 A.
- D) 2 A.
- E) 3 A.
Вопрос №8 Колебания напряжения на обкладках конденсатора и колебания тока в колебательном контуре по фазе
Ответы:
- A) Не совпадают, т. к. между напряжением и током существует сдвиг фаз, равный 180.
- B) Совпадают, т. к. напряжение и сила тока колеблются в одинаковых фазах.
- C) Не совпадают, т. к. колебания напряжения опережают силу тока на 3/4π.
- D) Не совпадают, т. к. между напряжением и током существует сдвиг фаз, равный 90.
- E) Совпадают, т. к. сдвиг фаз равен нулю.
Вопрос №9 Пусть заряд переместился в однородном поле с напряженностью Е = 2 В/м вдоль силовой линии на 0,2 м. Найти разность потенциалов между этими точками.
Ответы:
- A) 0,4 В
- B) 0,1 В
- C) 10 В
- D) 40 В
- E) 100 В
Вопрос №10 Найти скорость света в стекле с показателем преломления n=1,5.
Ответы:
- A)

- B)

- C)

- D)

- E)

Вопрос №11 В силу наличия у микрочастиц волновых свойств к ним неприменимо понятие: 1-импульса, 2-энергии, 3-траектории, 4-массы.
Ответы:
- A) 3
- B) 1 и 4
- C) 2 и 4
- D) 1 и 3
- E) 2
Вопрос №12 Поднимая груз весом 2 Н по наклонной плоскости высотой 20 см, прилагают силу 1 Н. Длина наклонной плоскости 50 см. Вычислите КПД наклонной плоскости.
Ответы:
- A) 40 %
- B) 80%
- C) 100%
- D) 20%
- E) 50 %
Вопрос №13 В каком случае заряженная пылинка может находится в равновесии между двумя разноименно заряженными пластинками?
Ответы:
- A)

- B)

- C)

- D)

- E)

Вопрос №14 Частица с электрическим зарядом ....Кл движется в однородном магнитном поле с индукцией 2 Тл со скоростью ..., вектор скорости направлен под углом 30градусов к вектору индукции, с какой силой магнитное поле действует на частицу: 
Ответы:
- A)

- B)

- C)

- D)

- E)

Вопрос №15 Если R1=8 Ом, R2=4 Ом, показания амперметра 1 A, то полный ток в цепи равен 
Ответы:
- A) 30 A.
- B) 0,2 A.
- C) 0,3 A.
- D) 3 A.
- E) 2 A.
Вопрос №16 Какая из формул выражает численное значение магнитного момента
Ответы:
- A) витка радиуса R, по которому течет ток I:

- B)

- C)

- D)

- E)

Вопрос №17 Какая из перечисленных ниже величин не имеет размерности?
Ответы:
- A) Диэлектрическая проницаемость

- B) Электроемкость
- C) Напрежение
- D) Диэлектрическая постоянная
- E) Напряженность
Вопрос №18 Определите индукцию магнитного поля на оси соленоида, состоящего из 100 витков провода, если сила тока в нем 10А, а длина соленоида равна 15,7см: 
Ответы:
- A) 8мТл
- B) 2мТл
- C) 4мТл
- D) 3,14мТл
- E) 6,28мТл
Вопрос №19 При переходе света из среды с показателем преломления n1 в среду показателем преломления n2 остается постоянной
Ответы:
- A) угол преломления
- B) частота
- C) скорость света
- D) направление распространения света
- E) длина волны
Вопрос №20 Относительно диэлектрическую проницаемость вещества между обкладками конденсатора, емкость которого С, можно вычислить по формуле (С0- емкость этого конденсатора при отсутствии диэлектрика):
Ответы:
- A)

- B)

- C)

- D)

- E)
